后台管理 设为首页 加入收藏
首页 责任关怀 精英招聘 在线留言 联系我们
产品列表
品牌产品
特种化学
高端试剂
高级油品
通用试剂
中 间 体
催 化 剂
仪器仪表
分析试剂
   

苏州艾希文化学有限公司

联 系 人: Alan Lu
电    话: +86-512-89994688  19901450989
传    真: +86-512-82175150
邮    箱:
sales@exiron.com.cn

邮    编: 215000
地    址: 唯新路69号一能科技园

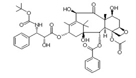
多烯紫杉醇 当前位置:首页 > 产品中心
多烯紫杉醇 多烯紫杉醇
多烯紫杉醇
Docetaxel
本网站产品图片版权归本公司所有,未经本公司同意不得转载,本公司将依法追究其法律责任
Copyright 2012 All Rights Reserved 苏州艾希文化学有限公司 版权所有 技术支持:仕德伟科技  苏ICP备13004771号